Plattform für Wasser, Gas und Wärme
E-Paper
Fachartikel
30. Oktober 2020

Gewässerbelastung mit PSM

Hydraulische Kurzschlüsse

Die schweizerische Agrarlandschaft weist ein dichtes Weg- und Strassennetz auf, dessen Entwässerung oft direkt in Oberflächengewässer führt. Es wirkt damit als hydraulischer Kurzschluss und als Transportpfad für Pflanzenschutzmittel (PSM). Felduntersuchungen und Modellrechnungen zeigen, dass gleich viel Ackerfläche über Kurzschlüsse mit einem Gewässer verbunden ist wie direkt angeschlossen ist. Zusätzlich wurden bedeutende PSM-Konzentrationen in Kurzschlüssen gemessen. Das weist darauf hin, dass Kurzschlüsse erheblich zur Belastung der Schweizer Gewässer mit PSM beitragen.
Urs Schönenberger, Anne Dax, Heinz Singer, Christian Stamm, 

Die Schweizer Agrarlandschaft ist kleinräumig gegliedert und von einem dichten Weg- und Strassennetz durchzogen. Vielerorts geht damit ein dicht ausgebautes Entwässerungssystem einher, das oberflächlich fliessendes Wasser von Feldern und Strassen in Oberflächengewässer leitet. Für den Transport von abgeschwemmten Nährstoffen, Bodenmaterial und Pflanzenschutzmitteln (PSM) stellen diese Entwässerungssysteme hydraulische Kurzschlüsse zwischen Feldern und Gewässern dar.
Die Bedeutung des Gewässeranschlusses der landwirtschaftlichen Flächen ist seit Längerem grundsätzlich bekannt [1, 2] und es liegt eine schweizweite Gewässeranschlusskarte vor [3]. Allerdings ist die empirische Datenbasis zum Vorkommen hydraulischer Kurzschlüsse und zu ihrem Einfluss auf den Stofftransport, insbesondere von PSM, sehr begrenzt und vor allem anekdotischer Art.
Neben der Bedeutung für Abschwemmungsprozesse können Kurzschlüsse auch eine wichtige Rolle für den indirekten Eintrag von Driftdeposition spielen. Das wurde beispielhaft in einer Studie in Rebbergen im Elsass gezeigt [4, 5]. Driftdeposition auf Strassen kann durch Regen mobilisiert werden und via Kurzschlüsse ins Gewässer gelangen. Die Relevanz dieses Prozesses in der Schweiz ist nicht bekannt. Die vorliegende Studie zielt darauf ab, die oben genannten Wissensdefizite zu verringern, indem sie folgende Ergebnisse liefert:
– Typisierung hydraulischer Kurzschlüsse und quantitative Abschätzung ihrer Häufigkeit
– Bedeutung hydraulischer Kurzschlüsse für den PSM-Eintrag in Gewässer via Abschwemmung und Drift
– ausgewählte Messungen von PSM in Kurzschlüssen
– Vorschläge für allfällige Massnahmen

Diese Studie wurde im Zusammenhang mit dem Nationalen Aktionsplan Pflanzenschutzmittel [6] durchgeführt. Eine der Massnahmen (Nr. 6.2.1.3) im Aktionsplan besteht darin, die Relevanz der PSM-Einträge via hydraulische Kurzschlüsse zu quantifizieren und allfällige Massnahmen zur Reduktion dieser Einträge zu bestimmen. Die hier vorgestellten Resultate sind Teil der Umsetzung dieser Massnahme.
Es ist an dieser Stelle wichtig, die verwendete Begrifflichkeit zu klären:
hydraulische Kurzschlüsse: menschgemachte Strukturen, die oberflächlich fliessendes Wasser gezielt einem Oberflächengewässer zuführen;
indirekt angeschlossene Flächen: Flächen, die durch Kurzschlüsse mit dem Gewässernetz verbunden sind;
direkt angeschlossene Flächen: Flächen, von denen Wasser ohne Kurzschlüsse oberflächlich ins Gewässer fliesst;
nicht angeschlossene Flächen: Flächen, bei denen das Wasser versickert, bevor es ins Gewässer fliessen kann.

Methodisches Vorgehen

Die Studie beinhaltete zwei Feldstudien sowie zwei darauf aufbauende, modellbasierte Teile. In diesem Artikel werden die wichtigsten Ergebnisse aus allen Teilen (a–d) sowie die sich daraus ergebenden Schlussfolgerungen für die Praxis vorgestellt.

(a) Feldstudie zur Quantifizierung der Häufigkeit von Kurzschlüssen

Zwanzig hydrologische Einzugsgebiete im Mittelland und Jura (durchschnittlich 3,5 km2) wurden ausgewählt, um die vorhandenen Kurzschlüsse zu erfassen (Fig. 1). Die Gebietsauswahl erfolgte zufällig anhand eines GIS-Datensatzes der hydrologischen Einzugsgebiete der Schweiz [7]. Die Wahrscheinlichkeit der Auswahl wurde an die Ackerfläche im Gebiet gekoppelt (weitere Details s. [8]).
Die Kurzschlüsse wurden mit drei komplementären Methoden erfasst. (i) Mit durch Drohnen aufgenommenen, hochaufgelösten Luftbildern. (ii) Mit Plänen der Strassenentwässerung und der Drainagesysteme, sofern vorhanden. (iii) Durch Kartierungen während Begehungen zu Fuss, die in allen Gebieten auf Teilflächen durchgeführt wurden. Diese Kartierungen stellten die Grundlage für die Typisierung der Kurzschlüsse dar.
Die Resultate der einzelnen Erhebungsmethoden zeigen, dass mit dem Vorgehen nicht alle Kurzschlüsse vollständig erfasst werden konnten. Die gefundene Anzahl Kurzschlüsse entspricht somit der unteren Grenze der tatsächlichen Anzahl.

(b) Modellierung des relativen Anteils Abschwemmung durch Kurzschlüsse

Anhand der kartierten Kurzschlüsse und einer topografischen Analyse wurden für die 20 Testgebiete die jeweiligen Anteile direkt, indirekt und nicht angeschlossener Flächen ermittelt. Um diese Ergebnisse auf das ganze Mittelland und den Jura zu übertragen, wurde ein statistisches Modell erstellt. Dieses prognostiziert die Flächenanteile in den Einzugsgebieten basierend auf schweizweit verfügbaren räumlichen Daten. Diese Anteile können am besten ausgehend von der bereits existierenden Gewässeranschlusskarte hergeleitet werden. Unsere Analyse führt damit zu einer Verbesserung der bestehenden Gewässeranschlusskarte basierend auf der erweiterten empirischen Datenlage im Feld.

(c) Modellierung des Potenzials für indirekten Eintrag von Drift

Zur Abschätzung des Potenzials für indirekten PSM-Eintrag in die Gewässer via Driftdeposition auf Strassen und Wege wurde ein bestehendes Driftmodell mit räumlichen Daten zur Gewässer- und Strassendichte und den entsprechenden Abständen zu Feldern kombiniert.

(d) Ereignisbezogene PSM-Messungen in Kurzschlüssen

Um erste Messungen von PSM in Kurzschlüssen zu erhalten, wurden im Einzugsgebiet des Chrümmlisbachs (Fraubrunnen, BE) im Sommer 2019 während einer 141-tägigen Periode 19 Regenereignisse beprobt. Rund 150 Einlaufschächte entwässern das 2,8 km2 grosse Einzugsgebiet. Davon wurden vier Einlaufschächte, ein Sammelschacht und der Bach untersucht. Während die beprobten Einlaufschächte nur durch Oberflächenabfluss gespiesen werden, fliesst im Sammelschacht Wasser von 64 Einlaufschächten und dem Drainagesystem zusammen. In den Einlaufschächten kamen Passivsammler zum Einsatz, an den anderen beiden Stellen aktive Probenehmer. Die Passivsammler bestanden aus luftdichten Flaschen mit einem Wassereinlass und einem Ventil für den Luftaustritt. Diese Sammler wurden so in die Schächte eingesetzt, dass sie während Abflussereignissen eingestaut wurden. Dadurch wurde die Luft aus den Flaschen gepresst und die Sammler füllten sich in wenigen Stunden. Die aktiven Probenehmer wurden über Wasserstandsonden in den Einlaufschächten gesteuert, um eine kohärente Probenahme zwischen den Stellen sicherzustellen.
Die gesammelten Proben wurden im Labor auf eine breite Palette von 52 Substanzen hin untersucht. Die Substanzauswahl wurde so weit wie möglich an den im Gebiet verwendeten PSM ausgerichtet und setzte sich hauptsächlich aus Herbiziden und Fungiziden zusammen sowie einigen Insektiziden und Metaboliten.
Die Substanzen wurden mittels Flüssigchromatographie gekoppelt an hochauflösende Massenspektrometrie (HRMS/MS, Orbitrap-Technologie) gemessen. Für die Quantifizierung der Stoffe wurden Referenzstandards und zusätzlich Isotopen-markierte Standards verwendet. Die Wiederfindungsrate der nachgewiesenen Substanzen lag in 95% der Fälle zwischen 80 und 120%, was die hohe Genauigkeit und Präzision der erhaltenen Messwerte bestätigt.

Anmelden

HÄUFIGKEIT HYDRAULISCHER KURZSCHLÜSSE

Die bei den Feldkartierungen gefundenen Kurzschlüsse können wie folgt kategorisiert werden:
1) Einlaufschächte, die entlang von Strassen und Feldwegen oder direkt auf landwirtschaftlichen Flächen liegen.
2) Kontrollschächte, die in der Regel keine Entwässerungsfunktion wahrnehmen. Sie können jedoch in Einzelfällen als Kurzschlüsse agieren, wenn sie in
einer Senke liegen und bei starkem Niederschlag eingestaut werden.
3) Einlaufrinnen und Entwässerungsgräben entlang von Strassen und Feldwegen.

Einlaufschächte sind die am häufigsten gefundenen Kurzschlüsse. Das Vorkommen variierte aber stark zwischen den Gebieten. Ihre räumliche Dichte schwankte zwischen 0,34 und 1,6 Einlaufschächten/ha (Fig. 2). Der Durchschnitt lag bei 0,84 Einlaufschächten/ha. Die meisten Einlaufschächte lagen an Strassen oder befestigten Wegen und nur etwa 3% direkt auf landwirtschaftlichen Flächen. Der überwiegende Teil dieser Schächte ist direkt (87%) oder via Kläranlage (12%) ans Gewässernetz angeschlossen.
In einzelnen Gebieten wurde zudem eine hohe Dichte an Einlaufrinnen und Entwässerungsgräben entlang des Strassennetzes festgestellt. Besonders in Rebbaugebieten scheinen solche Strukturen weit verbreitet zu sein [10].

EINTRÄGE VIA ABSCHWEMMUNG

Modellierung von 20 Einzugsgebieten

Die topografische Analyse ergab, dass knapp zwei Drittel der landwirtschaftlichen Flächen ans Gewässer angeschlossen sind. Von den angeschlossenen Flächen ist in 13 der 20 Einzugsgebiete mehr als die Hälfte über Kurzschlüsse mit dem Gewässer verbunden (Fig. 2). Im Mittel aller Einzugsgebiete waren dies 55%. Wiederum ist die Variabilität zwischen den Gebieten sehr ausgeprägt. Die Schätzungen für die verschiedenen Gebiete variieren zwischen 20 und 95%. Der Anteil indirekt angeschlossener Flächen hängt dabei nur sehr schwach mit der räumlichen Dichte an Einlaufschächten zusammen. Ob eine hohe Anzahl an Kurzschlüssen zu einem hohen indirekten Anschlussgrad führt, hängt von der Topografie des Einzugsgebietes (Hanglage, Gewässerdichte usw.) und von der Lage der Kurzschlüsse (entlang von Strassen, Tiefenlinien usw.) ab.
In einem weiteren Schritt wurden verschiedene Einflussfaktoren für das Auftreten von Abschwemmung (z. B. Hangneigung oder topografischer Vernässungsindex der Böden) berechnet. Dabei wurden keine systematischen Unterschiede zwischen direkt und indirekt angeschlossenen Flächen gefunden. Der direkte und indirekte Eintrag von PSM via Abschwemmung ist folglich proportional zur direkt und indirekt angeschlossenen Fläche. Daraus kann gefolgert werden, dass der indirekte PSM-Eintrag durch Abschwemmung ungefähr von gleicher Bedeutung wie der direkte Eintrag ist.

Hochrechnung aufs Mittelland

Werden die Ergebnisse der 20 Testgebiete durch das statistische Modell auf das Mittelland und den Jura hochgerechnet (Fig. 3), entwässern ebenfalls rund 55% der angeschlossenen Landwirtschaftsflächen via Kurzschlüsse in die Gewässer. Eine wichtige Rolle für den indirekten Gewässeranschluss spielen Kurzschlüsse insbesondere in Gebieten, in denen aufgrund natürlicher (Karst) oder menschlicher Einflüsse (Eindolung) nur ein geringer Teil des Gewässernetzes oberflächlich verläuft. Hohe PSM-Einträge via Kurzschlüsse sind jedoch vor allem in Gebieten zu erwarten, die nebst einem hohen Anschlussgrad auch einen intensiven Einsatz von PSM aufweisen. Beispielsweise sind daher die gelb-roten Flächen in der Region Franches-Montagnes (A) für den absoluten Eintrag von PSM via Kurzschlüsse deutlich weniger wichtig als jene im Berner Seeland (B) (s. auch Fig. 1).

EINTRÄGE VIA DRIFT

Die räumliche Modellierung der Driftdeposition zeigt für die 20 Testgebiete, dass potenziell viermal mehr PSM auf entwässerten Strassen abgelagert werden als durch Drift in Fliessgewässer gelangen. Bei einer groben Abschätzung auf nationaler Skala reduzierte sich dieses Verhältnis auf einen Faktor zwei.
Bei dieser Modellierung wurden verschiedene Einflussfaktoren wie beispielsweise Effekte von Wäldern und Hecken nicht berücksichtigt. Um zudem abzuschätzen, welcher Anteil der auf entwässerten Strassen abgelagerten Driftdeposition bei Regenereignissen mobilisiert werden kann, sind weitere Untersuchungen nötig.

PSM-MESSUNGEN IN EINLAUFSCHÄCHTEN

Durch die vier untersuchten Einlaufschächte im Einzugsgebiet des Chrümmlisbachs floss an 14, 20, 26 und 35 Tagen der 141-tägigen Untersuchungsperiode Oberflächenabfluss von den umliegenden Feldwegen oder landwirtschaftlichen Flächen in den Bach. Die dafür benötigte Regenmenge unterschied sich stark zwischen den Schächten. Während einer der Schächte bei jedem Regenereignis mit mehr als 3 mm Ereignisniederschlag mit Oberflächenabfluss gespiesen wurde, war dies bei einem anderen erst bei 15 mm der Fall.
Von den 52 untersuchten PSM wurden 37 in mindestens einem Einlaufschacht nachgewiesen. Pro Regenereignis wurden in den Einlaufschächten zwischen zwei und 27 verschiedene Substanzen gefunden (Durchschnitt: 11 Substanzen). Einige der PSM kamen in sehr hohen Konzentrationen vor (bis zu 62 000 ng/l). Im Vergleich dazu wurden im Sammelschacht und im Bach mehr Substanzen gefunden (Durchschnitt: 21 resp. 29 Substanzen). Die maximalen Konzentrationen waren jedoch tiefer (8000 resp. 35 000 ng/l).

Ökotoxikologische Relevanz

Um die ökotoxikologische Relevanz der Befunde einzuordnen, wurden die gemessenen Konzentrationen mit für Oberflächengewässer geltenden akuten ökotoxikologischen Qualitätskriterien [11] verglichen. Solche Werte liegen für 21 der untersuchten Substanzen vor. Das Verhältnis zwischen Messwert und Anforderungswert ergibt den sogenannten Risikoquotienten. Bei 30% der Einlaufschachtproben überstieg der Risikoquotient mindestens einer Substanz den Wert von Eins. Der höchste gemessene Risikoquotient betrug rund 50. Das Wasser aus diesem Schacht muss also mit mindestens der 50-fachen Menge an unbelastetem Wasser verdünnt werden, um kein akutes ökotoxikologisches Risiko im Bach darzustellen.
Der Oberflächenabfluss, der durch einen einzelnen Einlaufschacht fliesst, trägt nur zu einem kleinen Teil zum gesamten Abfluss im Bach bei. Daher ist eine Verdünnung um diesen Faktor durchaus wahrscheinlich. Eine Schätzung aufgrund topografischer Daten zeigt jedoch, dass bei Regenereignissen deutlich mehr als die Hälfte des Gesamtabflusses im Einzugsgebiet des Chrümmlisbachs von den Kulturflächen stammt. Von diesen Flächen sind mehr als 80% durch einen Einlaufschacht ans Gewässer angeschlossen. Durch die grosse Anzahl an Kurzschlüssen und ihren grossen Beitrag zum Gesamtabfluss ist folglich anzunehmen, dass der PSM-Eintrag via Kurzschlüsse im Einzugsgebiet des Chrümmlisbachs während Regenereignissen ein akutes ökotoxikologisches Risiko darstellen kann.

Räumliche Variabilität

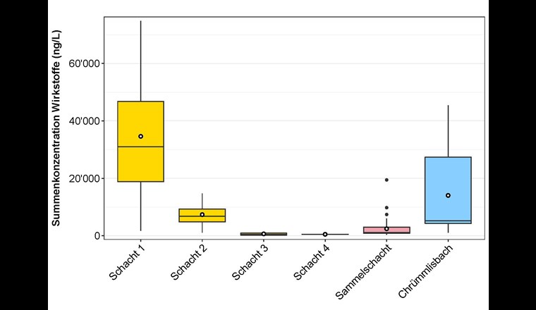
Für vier Regenereignisse wurden die Proben an allen Messstellen analysiert und direkt verglichen. Die Resultate zeigen grosse Unterschiede zwischen den einzelnen Einlaufschächten auf (Fig. 4). Während in zwei der Schächte hohe Summenkonzentrationen gefunden wurden (Schächte 1 und 2), lagen sie bei den anderen beiden auf tiefem Niveau (Schächte 3 und 4). Die Spanne der maximalen Summenkonzentrationen lag dabei zwischen 800 und 75 000 ng/l. In den ersten beiden Schächten überschritten mehrere Substanzen die akuten ökotoxikologischen Anforderungswerte, bei den zweiten beiden Schächten war dies bei keinem Regenereignis in der gesamten Untersuchungsperiode der Fall. Unterschiede in den gemessenen Konzentrationen können dabei meist durch die räumliche Lage der Schächte und die Anwendung von PSM in ihrer unmittelbaren Umgebung erklärt werden.
Die Summenkonzentrationen, die im Sammelschacht und Chrümmlisbach gefunden wurden, liegen zwischen den in den Einlaufschächten gemessenen
Konzentrationen.

Zeitliche Variabilität

Die PSM-Konzentrationen in den Schächten unterscheiden sich auch zeitlich sehr stark. Während eines Regenereignisses im Juni schwankte beispielsweise die Konzentration des Herbizids Terbuthylazin im Sammelschacht innerhalb weniger Stunden um zwei Grössenordnungen (Fig. 5). Gleichzeitig wurden in einem der Einlaufschächte, die in den Sammelschacht entwässern, Konzentrationen gemessen, die um eine Grössenordnung höher sind als im Sammelschacht. Ein Teil der im Sammelschacht und im Bach gemessenen Konzentrationen wurde folglich durch den Transport von Oberflächenabfluss via Kurzschlüsse verursacht. Wie gross dieser Anteil ist, kann nicht abschliessend beurteilt werden. Die hohe zeitliche Dynamik weist jedoch auf schnelle Transportprozesse als Ursache hin. Dabei könnte es sich nebst Oberflächenabfluss via Kurzschlüsse auch um Makroporenfluss ins Drainagesystem sowie (bei den im Bach gemessenen Konzentrationen) um direkten Oberflächenabfluss in den Bach handeln.

GESAMTEINSCHÄTZUNG Und EMPFEHLUNGEN

Die Feldbeobachtungen und -messungen deuten darauf hin, dass hydraulische Kurzschlüsse einen erheblichen Beitrag zur PSM-Belastung in landwirtschaftlichen Einzugsgebieten liefern. Die Resultate zeigen, dass die Flächen, von denen ein PSM-Eintrag via Abschwemmung durch Kurzschlüsse erfolgen kann, ungefähr gleich gross sind wie die Flächen, von denen ein direkter Eintrag möglich ist. Auch die durch Drift auf entwässerten Strassen abgelagerte Menge an Pflanzenschutzmitteln liegt mindestens in der gleichen Grössenordnung wie die direkt ins Gewässer eingetragene
Menge. Aufgrund hydraulischer Kurzschlüsse sind somit auch Landwirtschaftsflächen, die bisher bei Massnahmen zur Reduktion der Einträge via Abschwemmung und Drift meist vernachlässigt wurden, für die Gewässerbelastung relevant. So gelten beispielsweise Abschwemmungsauflagen im Rahmen der PSM-Zulassung nur für Felder innerhalb eines Puffers von 100 m zum Gewässer. Auch Driftmassnahmen berücksichtigen nur den direkten Eintrag. Die hier vorgestellte räumliche Analyse zeigt jedoch, dass auch Flächen mit grösserer Entfernung zum Gewässer zum PSM-Eintrag beitragen können. Eine zentrale Schlussfolgerung aus dieser Studie ist deshalb, dass für die Planung von Risikoreduktionsmassnahmen grundsätzlich das ganze Einzugsgebiet berücksichtigt werden sollte.
Bei der Massnahmenplanung kann zwischen zwei Ansätzen unterschieden werden. Einerseits kann versucht werden, durch kulturtechnische Massnahmen die hydraulischen Kurzschlüsse zu unterbinden. Mögliche Optionen wären beispielsweise die gezielte Versickerung über die Schulter oder durch den Boden der Einlaufschächte. Wo und in welchem Ausmass solche Massnahmen umgesetzt werden können, bleibt zu prüfen. Bei Situationen, von denen ein besonders hohes Risiko ausgeht (z. B. Einlaufschächte direkt im Feld), sollte eine Entfernung des Kurzschlusses in Erwägung gezogen werden.
Andererseits können Massnahmen darauf abzielen, den PSM-Eintrag via Kurzschlüsse zu verringern. Dies kann mit den gleichen Mitteln erfolgen, die auch zur Eintragsreduktion durch Abschwemmung und Drift direkt in die Gewässer eingesetzt werden (s. z. B. [12]). Dazu gehören Abstandsauflagen zu entwässerten Wegen und Strassen und entsprechende Pufferzonen sowie infiltrationsfördernde Bodenbearbeitung. Hierbei ist zu beachten, dass grosse Flächen von solchen Massnahmen betroffen wären. In den zwanzig Untersuchungsgebieten dieser Studie würde eine Erweiterung der Abschwemmungsauflagen auf Felder innerhalb eines Puffers von 100 m um entwässerte Wege und Strassen zu einer Verdreifachung der von Auflagen betroffenen Flächen führen.

Bibliographie

[1] Doppler, T. et al. (2012): Spatial variability of herbicide mobilisation and transport at catchment scale: insights from a field experiment. Hydrol Earth Syst Sc.; 16: 1947–67
[2] Prasuhn, V.; Grünig, K. (2001): Evaluation der Ökomassnahmen – Phosphorbelastung der Oberflächengewässer durch Bodenerosion. Schriftenreihe der FAL.; 37: 1–152
[3] Alder, S. et al. (2015): A high-resolution map of direct and indirect connectivity of erosion risk areas to surface waters in Switzerland – A risk assessment tool for planning and policy-making. Land Use Policy. 48: 236–49
[4] Lefrancq, M. et al. (2013): Kresoxim methyl deposition, drift and runoff in a vineyard catchment. Sci Total Environ. 442(0): 503–8
[5] Lefrancq, M. et al. (2014): Fungicides transport in runoff from vineyard plot and catchment: contribution of non-target areas. Environmental Science and Pollution Research. 21(7): 4871–82
[6] WBF (2017): Aktionsplan zur Risikoreduktion und nachhaltigen Anwendung von Pflanzenschutzmitteln. Eidgenössisches Departement für Wirtschaft Bildung und Forschung: 1–76
[7] BAFU (2012): Einzugsgebietsgliederung Schweiz, EZGG-CH. Bundesamt für Umwelt, Bern
[8] Schönenberger, U.; Stamm, C. (2020): Hydraulic Shortcuts Increase the Connectivity of Arable Land Areas to Surface Waters. Hydrol Earth Syst Sci Discuss. in review, https://doi.org/10.5194/hess-2020-391
[9] BFS (2014): Arealstatistik nach Nomenklatur 2004. Bundesamt für Statistik, Neuchâtel
[10] Simon, J. (2019): Pestizideintrag in Oberflächengewässer via Kurzschlüsse in Rebbergen. Universität Freiburg i.Br.
[11] Junghans, M. (2020): Qualitätskriterienvorschläge Oekotoxzentrum 2020.
Verfügbar unter: https://www.oekotoxzentrum.ch/expertenservice/qualitaetskriterien/qualitaetskriterienvorschlaegeoekotoxzentrum/
[12] Prasuhn, V. et al. (2018): Pflanzenschutzmitteleinträge durch Erosion und Abschwemmung reduzieren. Agrarforschung Schweiz. 9(2): 44–51

Danksagung

Die Autoren möchten den zahlreichen Personen danken, die an dieser Arbeit beteiligt waren. Für die Hilfe bei den Drohnen-Aufnahmen und Feldkartierungen möchten wir uns bei Michael Döring, Diego Tonolla und Janine Simon bedanken.

Ein grosses Dankeschön für die Unterstützung mit den Probenahme-Installationen, der Feldarbeit und der Analytik geht an Birgit Beck, Bernadette Vogler, Simon Dicht, Christian Ebi, Christian Förster, Michael Patrick, Simon Wullschleger sowie Andreas Raffainer (und Team). In diesem Zusammenhang geht unser Dank auch an alle Beteiligten des Berner Pflanzenschutzprojektes, insbesondere an die involvierten Landwirte, an Sandra Ott, Dominik Füglistaller, Matthias Ruff, Claudia Minkowski, Elvira Rudin und Urs Berger.

Herzlichen Dank auch an Lorenz Ammann, Volker Prasuhn, Max Maurer, Nicole Munz und Fabian Soltermann für die wertvollen Kommentare und Diskussionen. Finanziert wurde das Projekt durch das Bundesamt für Umwelt.

e-Paper

«AQUA & GAS» gibt es auch als E-Paper. Abonnenten, SVGW- und/oder VSA-Mitglieder haben Zugang zu allen Ausgaben von A&G.

Den «Wasserspiegel» gibt es auch als E-Paper. Im SVGW-Shop sind sämtliche bisher erschienenen Ausgaben frei zugänglich.

Die «gazette» gibt es auch als E-Paper. Sämtliche bisher erschienen Ausgaben sind frei zugänglich.