Terrestrische und drohnen-gestützte Messungen mit thermischem Infrarot (TIR) sind effektiv zur zeitlich-räumlich hochaufgelösten Quantifizierung von Längs- und Quertemperaturunterschieden in gut durchmischten Fliessgewässern. Bei der TIR-Erfassung und -Analyse müssen allerdings verschiedene atmosphärische und andere Umwelteinflüsse berücksichtigt sowie die TIR-Anwendung zur genauen Bestimmung der absoluten Temperatur kritisch betrachtet werden.
Johann Junghardt , Forschungsgruppe Geoinformatik, Institut für Umwelt und Natürliche Ressourcen (IUNR), Zürcher Hochschule für Angewandte Wissenschaften (ZHAW)
Manuel Antonetti , Forschungsgruppe Ökohydrologie, Institut für Umwelt und Natürliche Ressourcen (IUNR), Zürcher Hochschule für Angewandte Wissenschaften (ZHAW)
In hydromorphologisch komplexen Gewässern kann die Wassertemperatur zeitlich und räumlich stark variieren und ist daher mit herkömmlichen in-situ Methoden (z.B. Temperatursonden) schwierig flächendeckend zu quantifizieren. Messungen mit thermischem Infrarot (TIR; Wärmebilder) stellen hier eine effektive Alternative dar, um die Strahlungstemperatur des Oberflächenwassers zu bestimmen.
Temperaturkorrigierte TIR-Orthofotos (räumliche Verteilung der Strahlungstemperatur [Tr]; Werte pro Pixel) am Morgen, Mittag und Nachmittag des 21. August 2018 (sonnig). Die Fliessrichtung ist von Süden nach Norden. Hintergrundkarten: RGB-Orthofoto vom 21. August,
Pixelfrequenzverteilung der entsprechenden TIR-Orthofotos mit sechs Tr-Statistiken: Gesamtanzahl der Pixel (Pt), Mittelwert (TrMean), Standardabweichung (TrSd), Minimum (TrMin), Maximum (TrMax), Amplitude (TrAmp).
Korrigierte Gradienten der Strahlungstemperatur (Tr) am Morgen, Mittag und Nachmittag des 21. August 2018 (sonnig). Boxplots der Temperatur pro Pixel der 72 Quertransekte (im Abstand von 10 m) senkrecht zur ca. 750 m langen Flussmittellinie. Dargestellt sind die 25. und 75. Perzentile, der Median (schwarze Linie in der Box), Mittelwert (rote Linie in der Box), Whisker (25. Perzentil – 1,5. x Interquantilsabstand; 75. Perzentil + Interquantilsabstand) und Ausreisser (Punkte). Die Fliessrichtung ist von links nach rechts. Siehe Fig. 2 oben für die entsprechenden TIR-Orthofotos.
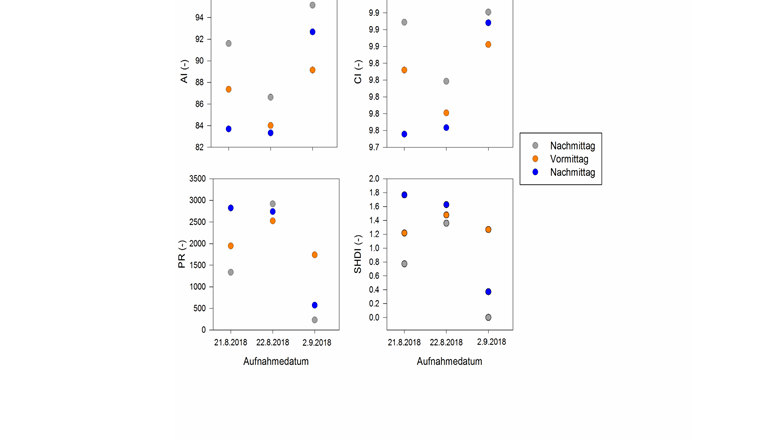
Ausgewählte Temperaturheterogenitätsmetriken der korrigierten Strahlungstemperatur (Tr) am Morgen, Mittag und Nachmittag des 21. und 22. August 2018 (beide sonnig) sowie 2. September 2018 (bewölkt). AI: «Thermal Aggregation Index», CI: «Thermal Cohesion Index», PR: «Thermal Patch Richness», SHDI: «Shannon’s Thermal Diversity Index». Die Y-Achsen sind unterschiedlich skaliert.
«Levelplots» der korrigierten thermischen Heterogenität der Strahlungstemperatur (Tr) der TIR-Orthofotos (Quertransekte) am Morgen, Mittag und Nachmittag des 21. und 22. August 2018 (beide sonnig) sowie 2. September 2018 (bewölkt). Für die weissen Flächenbereiche sind keine Daten vorhanden (Brücke oder Prozessierungsartefakte). Die Fliessrichtung ist von links nach rechts.
Vergleich der Strahlungstemperatur (Tr terrestrisch) mit der kinetischen Temperatur (Tk in-situ) am 12. August 2018 (7.50 bis 16.50 Uhr; sonnig). Die farbige Abbildung zeigt ein Beispiel eines terrestrischen TIR-Bildes (12.02) mit Messung in der Bildmitte. Ein Ausfall und Austausch der Batterie führte zum Verlust von 9,2% der Daten.