Niederschlags- und Mischabwasserentlastungen aus Siedlungen tragen zu Mikroverunreinigungen in Gewässern bei. Mit Passivsammlern wurden erstmals Konzentrationsbereiche an 20 Standorten für insgesamt 95 Ereignisse bestimmt, was die Analyse von Unterschieden zwischen Standorten sowie die Identifikation relevanter Eintragspfade unterstützt. An 13 Standorten waren bei mindestens einer Substanz die Konzentrationen im Mischabwasser höher als akute Qualitätskriterien.
Installationen der Passivsammler (Triplikate) zur Probennahme in 20 Mischabwasserentlastungen.
In neun Kläranlageneinzugsgebieten wurden insgesamt 20 Mischabwasserentlastungen beprobt. Zahl = Anzahl Standorte pro Einzugsgebiet.
Direkt im Feld nach der Beprobung eines Entlastungsereignisses für den Vergleich der aktiven Probennahme mit automatischem Probenehmer
Passivsammler im Triplikat
Landnutzungsverteilung der angeschlossenen Einzugsgebiete. Für den Standort 17 liegen keine detaillierten Daten vor.
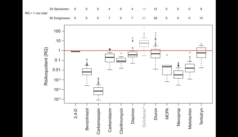
Risikoquotient (RQ) basierend auf zeitgemittelten Konzentrationen für alle Standorte im Vergleich zu akuten Umweltqualitätskriterien (UQK). RQ > 1, rot gestrichelte Linie. Dargestellt sind hier nur RQ für quantifizierbare Konzentrationen (50% der Ereignisse und Substanzen waren kleiner als die Bestimmungsgrenze). Für 1,3-Benzothiazol-2-sulfonate liegen keine UQK vor, die Substanz wurde jedoch in allen Standorten detektiert. *Für Diclofenac gibt es momentan nur ein chronisches UQK, das hier angewandt wurde, im Vergleich zu einem akuten UQK führt dies zu Überschätzungen des RQ.
Variabilität zwischen unterschiedlichen Standorten (Kreuz, Variationskoeffizient Standorte) im Vergleich zur Variabilität zwischen den Ereignissen eines Standortes (Box, Variationskoeffizient der Ereignisse eines Standortes). 2,4-D wurde nur an einem Standort gefunden.