Power-to-Gas beschreibt die Umwandlung von elektrischer Energie in einen gasförmigen Energieträger, hier synthetisches Methan, der langfristig gespeichert und zeit- bzw. ortsunabhängig in einem anderen Prozess zur Erzeugung von Wärme, Strom oder Antriebsenergie genutzt werden kann. Im Rahmen des STORE&GO-Projekts wurde an drei Standorten jeweils eine Power-to-Gas-Anlage mit neuartigem Methanisierungsverfahren geplant, errichtet und in Betrieb genommen.
Am deutschen Standort Falkenhagen wird eine katalytische Methanisierung mit wabenförmigen Reaktorelementen verwendet, die am Engler-Bunte-Institut des Karlsruher Instituts für Technologie (KIT) entwickelt wurde. Durch die Waben wird eine grosse spezifische Oberfläche erreicht, an der die Methanisierung stattfinden kann. In Troia, Italien, wird ebenfalls eine katalytische Methanisierung in Form eines Mikroreaktors eingesetzt. Bei diesem Reaktortyp wird durch eine metallische Kanalstruktur eine grosse Oberfläche und eine gute Wärmeableitung erreicht. Der Reaktor wurde gemeinsam von CEA (Commissariat à l’énergie atomique et aux énergies alternatives) und der französischen Firma Atmostat entwickelt. In Solothurn, genauer Zuchwil, kommt ein biologisches Methanisierungsverfahren der deutschen Firma Electrochaea zum Zuge.
Die drei Demonstrationsanlagen werden auf verschiedene Arten betrieben und anhand von Leistungsindikatoren bewertet. Mit den Ergebnissen können Optimierungspotenziale der einzelnen Methanisierungsreaktoren sowie der gesamten Anlagen identifiziert werden.
Im Folgenden wird ausschliesslich auf die Ergebnisse des Schweizer Demo-Standorts eingegangen.
Das Areal des Hybridwerks Aarmatt der Regio Energie Solothurn wurde aus mehreren Gründen als idealer Standort für eine Power-to-Gas-Anlage ausgewählt. Nicht nur befanden sich bereits die Netze der notwendigen Betriebsmittel zur Speisung der End- und Nebenprodukte auf dem Areal, auch war schon ein 350-kWe-Elektrolyseur vorhanden. Dies waren zwei Kriterien für die Standortwahl der Schweizer Demonstrationsanlage.
Das Hybridwerk startete im Dezember 2014 mit dem operativen Betrieb des Elektrolyseurs. Es zeigte die Möglichkeiten der Konvergenz des Stromnetzes mit dem Gasnetz und erweiterte die Möglichkeiten der Sektorenkopplung.
In der Regel müssen bei einem Stromüberangebot Solar-, Wind- und auch Wasserkraftwerke vom Netz genommen werden, damit die Stromnetze nicht überlastet werden. Dank des Hybridwerks Aarmatt wird aus dem überschüssigen Strom Wasserstoff hergestellt, der in Zeiten mit hohem Energiebedarf genutzt werden kann. Die Wasserstoffproduktion findet im Elektrolyseur statt. Dort wird deionisiertes Wasser in seine Elemente H2 und O2 aufgespaltet und der Wasserstoff dann entweder in Speichern zwischengelagert oder ins Erdgasnetz eingespeist. Durch das Power-to-Gas-Verfahren kann somit erneuerbare Energie saisonunabhängig und langfristig speicherbar werden sowie zeit- und ortsunabhängig – je nach Kunden- und Energiebedarf – beliebig bezogen werden.
Diese Form von Energieanlage ist einmalig in der Schweiz und steht exemplarisch für eine Energiezukunft, in der einer integrierten Energieproduktion und -speicherung eine entscheidende Bedeutung zukommen wird. Die Anlage ist so geplant und gebaut, dass sie je nach Entwicklung der Bedürfnisse und der eingesetzten oder neuen Technologie modular erweitert werden kann.
Im Rahmen des STORE&GO-Projekts wurde das Hybridwerk, wie bereits erwähnt, um die Technologie der biologischen Methanisierung erweitert. Diese wandelt den Wasserstoff in einem weiteren Prozessschritt in Methan um und ermöglicht so die Einspeisung von synthetischem Gas auch bei geringem Durchfluss ins Gasnetz, ohne die Maximalbegrenzung von 2 Vol.-% Wasserstoff im Gasgemisch nach der Einspeisung zu überschreiten.
Im Folgenden werden die einzelnen Komponenten vorgestellt und die Erfahrungen aus Planung, Bau und Betrieb der Anlage erläutert.
Um synthetisches Methan herzustellen, braucht es neben Wasserstoff auch Kohlenstoffdioxid. Dieses kann aus jeder beliebigen CO2-Quelle stammen. Im Fall des STORE&GO-Projekts in Zuchwil kommt es von der Abwasserreinigungsanlage (ARA) des Zweckverbands der Abwasserregion Solothurn-Emme (ZASE). Das CO2 wird in einem mehrstufigen Membransystem vom Rohbiogas abgetrennt. Auf der einen Seite bleibt methanreiches Biogas übrig, das in das Gasnetz eingespeist wird, und auf der anderen Seite kohlenstoffdioxidreiches Gas. Letzteres wird in die benachbarte Müllverbrennungsanlage KEBAG geführt, um dort restliche Methanrückstände zu verbrennen. Von dieser Leitung wurde eine Abzweigung zum Standort des Hybridwerks eingerichtet, sodass das Kohlenstoffdioxid für die Methanisierung abgezogen werden kann. Die unterirdische Pipeline besteht aus einer PE-90X76.3-S5-Rohrleitung und ist 2,5 km lang. Für den Power-to-Gas-Prozess werden ca. 30 m3/h (NTP) des CO2-reichen Gases mittels Gebläse transportiert. Der Druckverlust über die Leitungslänge beträgt ca. 100 mbar.
Im Hybridwerk wird das CO2 auf 12 bis 14 bar komprimiert, um ohne weiteren Energieaufwand beim Betriebsdruck der Methanisierung von 10 bar für den Prozess bereitzustehen.
Die Methanisierungsanlage ist für eine Elektrolyse mit einer elektrischen Leistung von 700 kW ausgelegt. Die installierte Kapazität der Elektrolyse beträgt jedoch nur 350 kW, was einer Wasserstoffproduktion von ca. 60 m3/h (NTP) entspricht. Um den Volllastbetrieb der Demonstrationsanlage mit einer äquivalenten Elektrolyseleistung von 700 kW (120 m3/h [NTP]) durchführen zu können, wurde die Kapazität des H2-Speichers von 146 auf 292 m3 (NTP) erhöht. Der Wasserstoffspeicher kann unter maximalem Betriebsdruck der Elektrolyse von 30 bar befüllt werden. Dies gewährleistet einen Betrieb mit voller Kapazität von ca. 4,5 Stunden. Danach müssen die Wasserstoffspeicher wieder befüllt werden.
Als Methanisierung wird die Umwandlung von Kohlenstoffmonoxid oder Kohlenstoffdioxid in Methan bezeichnet. Die chemische Reaktion von Kohlenstoffdioxid zu Methan wird auch als Sabatier-Prozess bezeichnet, da 1902 von Paul Sabatier und J.B. Sendersens entdeckt. Neben einem chemischen Verfahren ist die Methanisierung auch auf biologische Weise möglich. Diese nutzt Mikroorganismen, die Wasserstoff und Kohlenstoffdioxid im Stoffwechselprozess zu Methan und Wasser umwandeln, sogenannte methanogene Archaeen. Die Firma Electrochaea setzt für ihr spezielles Verfahren eine Reinkultur von Archaeen mit einer sehr hohen Selektivität in einem kontinuierlichen Rührkesselreaktor (CSTR) ein. CO2 und H2 werden im Verhältnis 4:1 gemischt und dem Reaktor von unten zugeführt. Um die Blasengrösse zu minimieren und eine gute Löslichkeit des Wasserstoffs im wässrigen Medium zu erreichen, ist ein mit Schaufeln versehenes Rührwerk im Reaktor installiert. Das Rührwerk in Kombination mit speziellen Strömungsbrechern erhöht zudem die Verweildauer des Wasserstoffs und Kohlendioxids im Medium, wodurch diese besonders lange für die Archaeen verfügbar sind.
Um die Reaktion einzuleiten, muss der Reaktor auf 62 °C erwärmt werden, bevor das Mischgas zugegeben wird. Während des Methanisierungsprozesses ist eine Kühlung erforderlich, um eine Überhitzung des Reaktors zu vermeiden. Der Stoffwechselprozess der Archaeen produziert Abwärme, die durch eine Kühlschleife im Inneren des Reaktors abgeführt wird und so ausgelegt ist, dass das Reaktionsmedium auf Temperaturen zwischen 61 und 65 °C gehalten wird.
Um die spezifischen Parameter für die Vermehrung und das Überleben der Archaeen einzuhalten, werden dem Reaktor verschiedene Nährstoffe zugeführt. Die Prozessbedingungen sind so einzustellen, dass die Reaktion von Wasserstoff und Kohlenstoffdioxid durch die Mikroorganismen biologisch katalysiert wird und gemäss folgender Reaktion abläuft:
4H2 + CO2 → CH4 + 2H2O
Die methanogenen Archaeen bevorzugen eine sauerstofffreie Umgebung. Dies bedeutet, dass ein negatives Redox-Potenzial in dem Bioreaktor vorliegen muss. Das Kohlenstoffdioxid und der Wasserstoff lösen sich in der wässrigen Lösung und werden von den Archaeen sehr effizient und schnell aufgenommen und in Methan und Wasser verstoffwechselt. Die Reaktorkonfiguration und die Betriebsbedingungen werden so gewählt, dass das Ausmass des Kohlenstoffdioxidverbrauchs maximiert und gleichzeitig die erforderliche Menge an Wasserstoff minimiert wird. Bei stöchiometrischer Umsetzung der reaktiven Gase (H2 und CO2) beträgt das CH4-Produktgasvolumen 20% des Volumens der Ausgangsstoffe. Der grösste Teil des Nebenprodukts Wasser bleibt in der flüssigen Phase und wird kontinuierlich abgezogen und der Kanalisation zugeführt. Dadurch hält sich das Flüssigkeitsniveau im Reaktor innerhalb der zulässigen Grenzen.
Die Nährstoffzugabe erfolgt ebenfalls kontinuierlich, während die Mittel zur Reduktion der Schaumbildung im Kopf des Turms sowie zum Einstellen des optimalen pH-Werts nur bei Bedarf in den Reaktor gepumpt werden.
Das Produktgas wird anschliessend in der Gasaufbereitung von möglichem Schaum und Schwefelwasserstoff befreit und mittels Kühlung und Trocknungskolonnen wird Restfeuchtigkeit entfernt, um die finale Konditionierung für die Einspeisung zu erreichen. Ein Regelventil sorgt dafür, dass der Systemdruck im Reaktor konstant bleibt, bevor das Gas analysiert und in das Erdgasnetz eingespeist oder bei Bedarf abgefackelt wird.
Beide Prozessschritte, Elektrolyse und Methanisierung, produzieren während des jeweiligen Betriebs Abwärme. Diese kann in geeigneten Wärmesenken genutzt werden. Am Standort des Hybridwerks wird die Abwärme des Elektrolyseprozesses in den Rücklauf des Fernwärmenetzes eingespeist. Die Abwärme der Methanisierung hat ein ähnliches Temperaturniveau und könnte ebenfalls genutzt werden. Aufgrund der nur temporären Installation hat man zwar auf die Einbindung verzichtet, im Rahmen des Projekts STORE&GO wurden jedoch die Auswirkungen der Abwärmenutzung auf die Effizienz des Prozesses untersucht. Das Fernwärmenetz transportiert in einem geschlossenen Kreislauf heisses Wasser über ein Rohrleitungsnetz direkt zu den Haushalten, wo Raumwärme und Energie zur Warmwasseraufbereitung bereitgestellt werden. Die Temperatur des Wassers in der Hauptleitung beträgt circa 110 °C und im Rücklauf noch etwa 55 °C.
Der erste Schritt zur Einleitung des Bauprozesses vor Ort war die Festlegung der Grundstücksgrösse der Anlage. Dieser Prozess erforderte die Koordination zwischen Grösse der Anlage, Mindestabstandsregelungen zu bestehenden Gebäuden und künftigen Plänen für die Erweiterung der Hybridanlage. Auch die Anforderungen von technischer Seite waren zu berücksichtigen – hier handelte es sich zum Beispiel um die Definition und Einhaltung der Explosionszonen und die Position von Sicherheitsventilen. Erst als alle möglichen Einschränkungen berücksichtigt und Lösungen gefunden wurden, konnte die Auslegung finalisiert werden. Dieser Prozess benötigte deutlich mehr Zeit als ursprünglich geplant.
Für die allgemeine Anlagengenehmigung wurde das Technische Inspektorat des Schweizerischen Gasfaches (TISG) als Fachstelle hinzugezogen. Um die erforderlichen Zertifikate für die Abnahme zu erhalten, wurde geprüft, ob beim Bau der Anlage die festgelegten Standards und Regeln eingehalten worden waren. Der TÜV Süd bescheinigte nach eingehender Prüfung, dass die Baugruppe die Anforderungen der Richtlinie 2014/68/EU erfüllt hatte und stellte eine «Konformitätsbescheinigung» für eine entsprechende CE-Zertifizierung aus. Zur Baugruppe gehörten alle im Rahmen des Projekts neu installierten Gewerke. Das bestehende Hybridwerk war von der Baugruppe ausgenommen und man untersuchte die Sicherheit an den Schnittstellen zwischen Methanisierungsanlage und Hybridwerk. Danach wurde das Sicherheitskonzept der Methanisierungsanlage geprüft, die aus mehreren Gewerken von unterschiedlichen Lieferanten bestand. Zudem wurden die Zertifikate für Druckgeräte geprüft, um sicherzustellen, dass alle Werte entsprechend der Spezifikation eingehalten werden. Zur Verifizierung der Angaben wurde eine Druckprüfung einschliesslich einer technischen Inspektion vor Ort durchgeführt.
Zusätzlich wurden noch Fachmeinungen und Abnahmen verschiedenster Behörden, Ämter und benannte Stellen eingeholt. Beispielsweise wurde die kantonale Gebäudeversicherung zur Prüfung des Brandschutzes einbestellt, Fachpersonen prüften und zertifizierten die elektrischen Anschlüsse und Verkabelung. Der Schweizerische Verein für technische Inspektionen (SVTI) prüfte die Druckbehälter, das Amt für Umwelt prüfte die Abwasserzusammensetzung und genehmigte die Einleitung des Abwassers in die Kanalisation.
Die Eidgenössische Zollverwaltung war mit dem Bewilligungsprozess der Steuererleichterung für die Erzeugung von synthetischem Biogas beauftragt worden. In diesem Rahmen wurde das Bundesamt für Umwelt (Bafu) mit der Überprüfung der Einhaltung der ökologischen Anforderungen betraut. Aktuell wurde der Bewilligungsprozess eingestellt, da die STORE&GO-Demoanlage eine temporäre Errichtung ist.
Die Anlage kann in die drei Betriebszustände «Cold Standby», «Hot Standby» und «Betrieb» gefahren werden. Im «Cold Standby» steht die Anlage bei 8 bar nur unter geringem Druck und der Reaktor hat eine so geringe Temperatur, dass die Archaeen im Ruhezustand verweilen. Um betriebsbereit zu sein, muss die Anlage im «Hot Standby» sein. Dafür werden Temperatur und Druck angepasst, das heisst der Systemdruck wird auf 10 bar angehoben und der Reaktor mit einer Leistung von etwa 38 auf 62 °C aufgeheizt. Sobald CO2 und H2 zugegeben werden, befindet sich die Anlage «in Betrieb» .
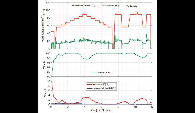
Beim Betrieb der Anlage wurde das Zusammenspiel der einzelnen Gewerke der Power-to-Gas-Anlage und des Hybridwerks in verschiedenen Betriebsfällen getestet, um Erfahrung und Daten zu sammeln und das Potenzial der Technologie zu prüfen. Der Fokus lag hier besonders bei der Evaluierung von Effizienz und Flexibilität der Technologie. Diese Parameter sind besonders wichtig, um einen Mehrwert für das Stromnetz und fluktuierende erneuerbare Energien zu bieten.
Die Flexibilität der Elektrolyse in Zuchwil konnte im Rahmen eines Projekts des Forschungs-, Entwicklungs- und Förderungsfonds der Schweizer Gasindustrie (FOGA) nachgewiesen werden. Andere Power-to-Gas-Projekte, wie die Anlage im Energiepark Mainz [1] oder die Audi-Anlage in Werlte [2], haben diesen Nachweis für die Elektrolysetechnologie auch erbracht. Im Unterschied zu der biologischen Methanisierung in Zuchwil wird in Mainz der Wasserstoff direkt ins Erdgasnetz eingespeist und in Werlte die konventionelle chemische Methanisierung eingesetzt. Diese ist aufgrund der hohen Betriebs-temperaturen und Drücke träge und kann schnellen Lastwechseln im Betrieb nur mit Einbussen in der Methankonzentration nachkommen. Alternativ können Pufferspeicher für Wasserstoff eingesetzt werden, die jedoch die Elektrolyse und Methanisierung entkoppeln und zu erhöhten Kosten führen können. Bei der biologischen Methanisierung hingegen konnte gezeigt werden, dass die Flexibilität ohne Qualitätseinbussen und ohne Zwischenspeicher möglich ist.
Ziel war es, Teillastwirkungsgrade zu ermitteln und zu prüfen, wie dynamisch Laständerungen sein können. Es konnte erfolgreich gezeigt werden, dass sich die Produktgasqualität bei allen Lasten und Lastwechselraten kaum ändert. Die Last ändert sich stufenweise alle 30 Minuten zwischen 45 und 75%. Selbst beim Anfahren von 0 bis 75% nach einer kurzzeitigen Abschaltung wurden keine wesentlichen Qualitätseinbussen gemessen. Auch bei den direkten Lastwechseln zwischen 75 und 45% in ca. 5 Minuten (+/– 5,5%/min) wurde die Gasqualität durchgehend beibehalten.
Das Testprogramm zeigte ferner, dass die Anlage über einen langen Zeitraum ohne grössere Komplikationen betrieben werden kann. Einzelne verfahrenstechnische Mängel konnten während der Projektlaufzeit korrigiert werden und müssten bei einem Neubau der Anlage optimiert werden, wie zum Beispiel die Umschaltung von der Einspeisung des Produktgases ins Gasnetz auf die Verbrennung mittels Fackel und die Dosierung der Nährstoffe. Zusammengefasst bewältigt die biologische Methanisierung Lastwechsel von 40 bis 95% mit Lastwechselraten bis zu 5,5%/min ohne Qualitätsverlust. Die hohe Lastwechselrate ist möglich, weil die Archaeen eine extrem hohe Anpassungsfähigkeit an unterschiedliche Gasflüsse besitzen und zudem die flüssige Phase im Reaktor der Methanisierung einen Puffer für Änderungen der Lasten darstellt.
Mit dem Betrieb der biologischen Methanisierungsanlage konnte gezeigt werden, dass die Technologie einwandfrei funktioniert. Die Archaeen verrichteten ihre Arbeit sehr zuverlässig. Mit den Erfahrungen und Daten, die während des Projekts gesammelt werden konnten, können nun Anlagen im industriellen Massstab für die Herstellung von synthetischem Methan gebaut werden. Neben der Arbeit an der Technologie bestand ein weiterer Aspekt des Projekts darin, die Öffentlichkeit miteinzubeziehen. So besuchten über 1000 Personen die Anlage, um sich ein eigenes Bild von der Power-to-Gas-Technologie zu machen und am praktischen Beispiel zu erfahren, wie in Zukunft ein Beitrag zur Energiewende geleistet werden kann.
Das für die Anlage eigens kreierte Maskottchen «Archie», das den Archaeen nachempfunden ist, konnte hierbei einen wichtigen Beitrag leisten.
So betrachten wir die Terminierung des Projektes mit einem lachenden und einem weinenden Auge: Zum einen sind wir froh, dass wir die Anlage erfolgreich betreiben konnten und die erforderliche Gasqualität ohne weitere Aufbereitung mittels Membranen erreichen konnten. Zum anderen heisst es Abschied nehmen von den «Archies», die uns während des Projektes sehr ans Herz gewachsen sind.
Abschliessend gilt es festzuhalten, dass wir sämtliche technischen Register ziehen müssen, um das ehrgeizige Ziel der komplett erneuerbaren Energieproduktion bis 2050 zu erreichen. Dabei spielt das Gas-Molekül mindestens eine genauso wichtige Rolle wie das Elektron.
[1] Aichinger, J. (2017): Power-to-Gas Project «Energiepark Mainz» – Project Background, Project Status, Operational Experiences. Präsentation. Dechema Praxisforum, Frankfurt
[2] Rieke, S.; Waldstein, G. (2017): Schlussbericht Verbundprojekt FKZ 0325428B – WOMBAT. Wirkungsgrad-Optimierung von Methanisierungs- und Biogasanlagen-Technologien im Rahmen eines EE:Speicherungs-Pilotprojektes
Im Rahmen von Horizon 2020, dem Forschungs- und Innovationsprogramm der Europäischen Union für Forschung und Innovation, wurde 2016 das internationale Projekt STORE&GO mit einer Laufzeit von vier Jahren (2016–2020) lanciert: Insgesamt sind 27 Projektpartner aus sechs europäischen Ländern an der Weiterentwicklung der Power-to-Gas-Technologie beteiligt. Geforscht wird anhand von drei unterschiedlichen Power-to-Gas-Konzepten an drei Standorten: Deutschland (Falkenhagen, Brandenburg), Italien (Troia, Apulien) und die Schweiz (Zuchwil, Solothurn). Im Zentrum der Forschung stehen dabei die Herstellung erneuerbarer Gase über den Schritt der Methanisierung und die Speicherung in einem industriellen Umfang, um einen wirtschaftlichen Betrieb zu ermöglichen. Berücksichtigt werden neben technologischen auch ökonomische und rechtliche Fragen.
Das Budget des von der EU geförderten Projekts beträgt insgesamt 28 Mio. Euro, wovon 5,7 Mio. Euro auf die Schweiz entfallen. Am Schweizer Projekt sind fünf hiesige Partner involviert: HSR Hochschule für Technik Rapperswil, Regio Energie Solothurn, der SVGW, die EPFL sowie die Empa. Sie werden ergänzt vom deutschen Partner Electrochaea.
https://gazenergie.ch/de/wissen/kategorie/knowledge-category/power-to-gas/
GEWINNER DES WATT D’OR 2020
Die Schweizer Power-to-Gas-Referenzanlage von STORE&GO in Zuchwil, die von Regio Energie Solothurn betrieben wird, erhielt im Rahmen des Neujahrsempfangs des Schweizerischen Bundesamts für Energie die renommierte Auszeichnung Watt d’Or in der Kategorie «Erneuerbare Energie».
Der Energiepreis ist gedacht, um aussergewöhnliche Leistungen im Energiebereich bekannt zu machen. Diese sollen Wirtschaft, Politik und die breite Öffentlichkeit motivieren, die Vorteile innovativer Energietechnologien für sich zu entdecken.
Die strahlenden Gewinner des Watt d’Or der Kategorie «Erneuerbare Energien»: Regio Energie Solothurn und das Store&Go-Konsortium, darunter Electrochaea, Hochschule für Technik in Rapperswil, Empa, École Polytechnique Fédérale de Lausanne und der SVGW.(Bild: BFE)
«AQUA & GAS» gibt es auch als E-Paper. Abonnenten, SVGW- und/oder VSA-Mitglieder haben Zugang zu allen Ausgaben von A&G.
Den «Wasserspiegel» gibt es auch als E-Paper. Im SVGW-Shop sind sämtliche bisher erschienenen Ausgaben frei zugänglich.